[最も選択された] 解の公式 証明 中学 113255-解の公式 ���明 中学
Web 従来の教科書で取り上げられている2次方程式の解の公式の証明は次のようなものである。 両辺をでわって この証明には2つの不満がある。 いきなり両辺をで割るところ
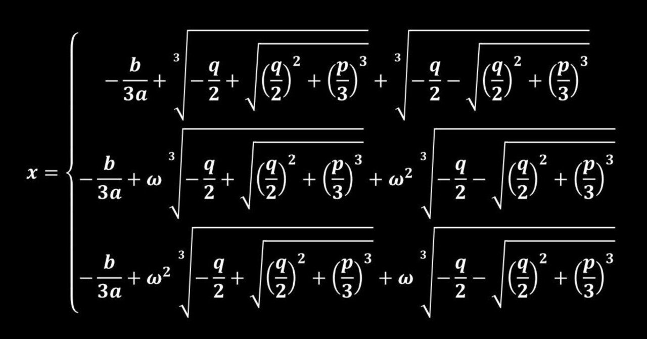
解の公式 証明 中学-Web16 2次方程式の解の公式 ax2 bxc = 0 の解 x = −b± √ b2 −4ac 2a ax2 2b′xc = 0 の解 x = −b ′ ± √ b′2 −ac a 2 関数の公式 21 比例 y = ax (a 比例定数) 22 比例のグラフ y = ax のグラWeb 文部科学省 学習指導要領の一覧 https//eridniergojp/guidelinehtml を見ると、 1977 (昭和52)年、中学校学習指導要領(昭和56年4月施行)なので40年前のものでは、
解の公式 証明 中学のギャラリー
各画像をクリックすると、ダウンロードまたは拡大表示できます
![]() | ![]() | ![]() |
![]() | ![]() | ![]() |
![]() | ![]() | |
![]() | ![]() | ![]() |
「解の公式 証明 中学」の画像ギャラリー、詳細は各画像をクリックしてください。
![]() | ||
![]() | ![]() | ![]() |
![]() | ![]() | ![]() |
![]() | ![]() | ![]() |
「解の公式 証明 中学」の画像ギャラリー、詳細は各画像をクリックしてください。
![]() | ![]() | ![]() |
![]() | ![]() | |
![]() | ![]() | |
![]() | ![]() | ![]() |
「解の公式 証明 中学」の画像ギャラリー、詳細は各画像をクリックしてください。
![]() | ![]() | |
![]() | ![]() | ![]() |
![]() | ![]() | ![]() |
![]() | ![]() | ![]() |
「解の公式 証明 中学」の画像ギャラリー、詳細は各画像をクリックしてください。
![]() | ||
![]() | ![]() | |
![]() | ![]() | ![]() |
![]() | ![]() | |
「解の公式 証明 中学」の画像ギャラリー、詳細は各画像をクリックしてください。
![]() | ![]() | |
![]() | ![]() | ![]() |
![]() | ![]() | |
![]() | ![]() | ![]() |
「解の公式 証明 中学」の画像ギャラリー、詳細は各画像をクリックしてください。
![]() | ![]() | ![]() |
![]() | ![]() | ![]() |
![]() | ![]() | ![]() |
![]() | ![]() | |
「解の公式 証明 中学」の画像ギャラリー、詳細は各画像をクリックしてください。
![]() | ![]() | ![]() |
![]() | ![]() | ![]() |
![]() | ![]() | ![]() |
![]() | ![]() | ![]() |
「解の公式 証明 中学」の画像ギャラリー、詳細は各画像をクリックしてください。
![]() | ![]() | |
![]() | ![]() | ![]() |
Web中学3年生 数学 2次方程式 練習問題プリント 無料ダウンロード・印刷 2次方程式の考え方と解き方の練習問題プリントです。 方程式の形に応じて、適切な解き方が出来るよう、「因Web 単元 二次方程式, 「《初投稿》 友達に頼まれたので、 書きました ぜひ参考にしてみてください 」, 学年 中学3年生, キーワード 解の公式
Incoming Term: 解の公式 証明 中学,























































































コメント
コメントを投稿